Skip to main content

Weidebeitrag – ein neuer Beitrag des Bundes

19. Dezember 2022
Die Tierwohlbeiträge des Bundes erfahren ab 2023 eine Änderung, da die Massnahme «Weidebeitrag» eingeführt wird, die eng mit RAUS verknüpft ist. Sie ist nicht zu verwechseln mit dem Beitrag «Alpungsbeitrag».

Sein Ziel ist es, den Auslauf der Tiere im Freien zu fördern und einen hohen Anteil an Weidegras in der Rinderration zu unterstützen. Diese fakultative Massnahme ist nur für Rinder und Wasserbüffel vorgesehen.

Die Kernpunkte der Massnahme in kurzer Form:

  • mind. 26 Tage pro Monat Weidegang zwischen Mai und Oktober; Abweichungen und Ausnahmen sind wie bei RAUS möglich, je nach zu feuchten oder besonderen Bedingungen im Frühjahr, Beginn der Trockenstehzeit usw.
  • mind. 70% der TS-Ration in diesem Zeitraum stammen von der Weide;
  • mind. 22 Tage pro Monat Auslauf zwischen November und April, gegenüber 13 bei RAUS;
  • Aufzeichnung des Auslaufs in einem Auslaufjournal;
  • RAUS- und «Weidegang»-Beiträge sind für eine Kategorie nicht kumulierbar (Beispiel: Ich möchte den «Weidebeitrag» mit meinen Rindern die älter als 160 Tage sind, erhalten, daher muss ich auch RAUS mit den Kühen und Kälbern machen. Ich erhalte die spezifischen Beiträge für «Weidebeitrag» für Rinder und die RAUS-Beiträge für Kühe und Kälber.) ;
  • Anmeldung anlässlich der Herbsterhebung für das Folgejahr;

© Grangeneuve

  • Prämie von 350 CHF/GVE für Rinder, die älter als 160 Tage sind, und 530 CHF/GVE für andere Rinder, nicht kumulierbar mit RAUS- Beiträgen;
  • RAUS ist für alle Rinderkategorien, einschliesslich Kälber unter 4 Monaten, erforderlich.

Die 70% der Sommerration werden auf der zugänglichen Weidefläche berechnet. Im Gegensatz zu RAUS, wo die Mindestfläche für den Auslauf auf 4 Aren/GVE festgelegt ist, wird die Mindestfläche für den «Weidebeitrag» zwischen den einzelnen Betrieben unterschiedlich sein! Für die Kontrollorgane wird dies der Richtwert für die Umsetzung sein. Diese Fläche hängt von folgenden Faktoren ab:

  • Milchproduktion: Da sie mit der Futteraufnahme zusammenhängt, braucht man umso mehr Fläche, je höher diese ist,
  • Kraftfuttermengen: Je mehr Kraftfutter für die gleiche Produktion, desto weniger Weidefläche wird benötigt,
  • Ertrag von Intensivweiden aus der Düngerbilanz: Je höher er ist, desto weniger Fläche wird benötigt. Sie spielt eine grosse Rolle (NB: Eine Intensivweide mit 80 dt TS/ha benötigt 25% mehr Fläche als eine Intensivweide mit 100 dt TS/ha. Diese Fläche wird bei einem höheren Anteil an halbintensiven Weiden schnell zunehmen.),
  • Anzahl der Tage auf der Weide: Je niedriger die Anzahl der Tage auf der Weide, desto weniger Fläche wird für einen bestimmten Ertrag benötigt.

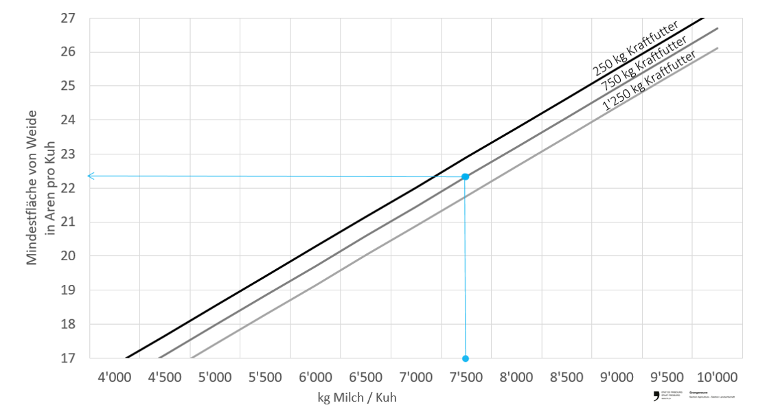
Gemäss Angaben des BLW und als Richtwert gilt, dass für eine Kuh, die 7’500 kg Milch mit 750 kg Kraftfutter auf Talweiden mit einem Ertrag von 100 dt TS/ ha produziert, der Zugang zu rund 23 Aren Weidefläche gewährleistet werden muss. Es werden mehr als 30 Aren benötigt, wenn die Weiden im Tiefland nur 75 dt TS/ha produzieren. Für eine Kuh mit 9’000 kg Milch und 1’000 kg Kraftfutter auf Intensivweiden in Höhenlagen mit 80 dt TS/ha werden mindestens 31 Aren benötigt. Kurzum, der Flächenbedarf wird nicht überall gleich sein, und auch wenn die Berechnungsmethode noch nicht endgültig ist, sind die Grössenordnungen gegeben.

Die folgende Grafik zeigt den Mindestflächenbedarf für Milchkühe im Talgebiet, je nach Milchproduktion und Kraftfuttergabe.

© Grangeneuve

Der finanzielle Aspekt des «Weidegangs» ist relativ wichtig: Beispielsweise geht es um eine Erhöhung von über CHF 7’000 für einen Betrieb, der beim RAUS mit macht und «Weidegang» auf eine ganze Herde von 35 Milchkühen mit Remontierung anwenden würde. Es lohnt sich, die Machbarkeit zu analysieren.

Wir stehen Ihnen gerne zur Verfügung, wenn Sie weitere Informationen wünschen.

Diese E-Mail-Adresse ist vor Spambots geschützt! Zur Anzeige muss JavaScript eingeschaltet sein! und Diese E-Mail-Adresse ist vor Spambots geschützt! Zur Anzeige muss JavaScript eingeschaltet sein!